ในชีวิตประจำวันไม่ว่าจะเป็นการทำงานตามโรงงาน สำนักงาน หรือพักผ่อนอาศัยในบ้านเรือนนั้น เราสามารถเห็นเครื่องใช้ไฟฟ้าที่ช่วยอำนวยความสะดวกเราในการใช้ชีวิตเป็นอย่างมากด้วยสายตาของเราเอง แต่พวกเราไม่สามารถรับรู้หรือว่าเห็นกระแสไฟฟ้าแบบเป็นๆ ได้เลย !!!
ซึ่งต้องบอกว่าเรื่องของ ไฟฟ้าเราไม่สามารถมองเห็นด้วยตาเปล่า ที่มีอิเล็กตรอน โปรตอน ซึ่งหลายๆ ครั้งมีผู้คนพูดว่า ต้องใช้จินตนาการในการเรียนรู้ หรือว่าทำงานด้วยนะ (ตอนแอดเรียนก็ต้องใช้จินตนาการจนปวดหัวเลย ^^)
แต่อย่างไรก็ตามนักวิทยาศาสตร์ ในอดีตได้ช่วยให้เราใช้ชีวิตและเรียนรู้ได้ง่ายขึ้นมาก จากการที่คิดค้นเซนเซอร์วัดกระแส หรือที่เราเรียกกันติดปากว่า Current Transformer นั่นเอง ขอเรียกสั้นๆ ง่ายๆ ว่า “CT” นะครับ ที่ทำให้เราสามารถเห็นปริมาณกระแสไฟฟ้าได้จากอุปกรณ์ไฟฟ้าที่เราใช้งานนั่นเอง
ซึ่งในบทความนี้ทางนายช่างมาแชร์ จะพาทุกคนไปท่องโลกของ CT ที่จะทำให้รู้จักว่า CT คืออะไร ? ทำไมต้องใช้ CT ? รวมไปถึงโครงสร้างและหลักการเบื้องต้นของ CT รวมไปถึง CT แต่ละชนิด งั้นจะพาทุกคนไปดูกันเลยนะครับ
Current Transformer หรือ CT คืออะไร ?

เซนเซอร์วัดกระแสไฟฟ้า (Current Transformer) หรือ CT นั้นคือ อุปกรณ์ไฟฟ้าที่ถูกออกแบบและสร้างขึ้นมา เพื่อให้พวกเราทุกคนทราบถึงค่ากระแสไฟฟ้าของ Load ที่เราใช้งานอยู่ โดยจะเป็นอัตราส่วนระหว่าง Main Primary Conductor และขดลวด Secondary ของ CT โดยจะทำการลดกระแสฝั่ง Primary ลงมายังฝั่ง Secondary ในค่าที่เหมาะสมและสามารถต่อเข้าใช้งานกับ Load ไฟฟ้า หรือ Ammeter ให้อยู่ในค่าที่เราต้องการจะวัดได้แบบ Real time ซึ่งตัว CT นั้นจะเป็นประเภทของหม้อแปลง (Transformer) ที่โครงสร้างด้านในหลักๆ จะมี 3 ส่วนใหญ่ๆ ดังนี้
- ขดลวก Primary
- ขดลวด Secondary
- แกนเหล็ก (Core)
โครงสร้างและหลักการทำงานของ Current Transformer

หลังจากเราได้รู้โครงสร้างของ CT แล้ว เรามาดูหลักการทำงานที่จะทำให้เรารู้ว่ากระแสไฟฟ้าใน Load ไฟฟ้าของเรานั้นมีค่าอยู่ที่ A นั้นไปดูกันเลยครับ
การที่จะทำให้คนนั้นสามารถรู้ว่าตอนนี้ Load ไฟฟ้าของเรานั้นมีกระแสไฟฟ้าเท่าไร นั้นตัว CT นี้จะถูกติดตั้งเข้าไปคล้องสายไฟฟ้าที่ต่อกับ Load ไฟฟ้าที่ต้องการวัด ดังรูปด้านบน โดยเราจะเรียกว่า “Main Primary Conductor” และ CT จะเป็นแกนแม่เหล็ก (Core) ที่จะได้รับอิทธิพลจากกระแสไฟฟ้าของ Main Primary Conductor ทำให้เกิดเส้นแรงแม่เหล็กที่ถูกเหนี่ยวนำขึ้นมาในตัวแกนเหล็ก
ซึ่งตัวโครงสร้างของ CT นั้นจะมีขดลวด Secondary พันอยู่กับแกนเหล็ก ด้วยความที่แกนเหล็กมีสนามแม่เหล็กขึ้น จึงได้ไปเหนี่ยวนำให้เกิดกระแสไฟฟ้าที่ขดลวด Secondary ขึ้น จึงเป็นสาเหตุที่ทำให้เราสามารถรู้ค่ากระแสไฟฟ้าโดยการเอาแอมมิเตอร์ ไปต่อกับขดลวด Secondary
โดยพวกเราจะเห็นอัตราส่วนระหว่างขดลวดของ Primary และ Secondary นั้น เราจะเรียกว่า CT เหล่านั้นที่มี Ratio เช่น 80/1, 200/1, 500/1 หรือ 500/5 เป็นต้น โดยวิธีการอ่านนั้น ขออนุญาตยกตัวอย่าง 200/1 นั่นหมายความว่า ทางด้านขดลวด Primary 200 A เราจะเห็นกระแสทางด้านขดลวดที่ Secondary ที่ 1 A ซึ่งเราต้องเลือกติดตั้ง Load ไฟฟ้าที่สอดคล้องกับ CT ratio ดังกล่าวด้วย
ซึ่ง CT Ratio นั้นจะเป็นไปตามสูตรด้านล่างนี้

ในขณะที่ Np = จำนวนรอบของขดลวดด้าน Primary มีหน่วยเป็น รอบ
Ns = จำนวนรอบของขดลวดด้าน Secondary มีหน่วยเป็น รอบ
Ip = กระแสไฟฟ้าที่วิ่งไหลผ่านขดลวดด้าน Primary มีหน่วยเป็น แอมป์
Is = กระแสไฟฟ้าที่วิ่งไหลผ่านขดลวดด้าน Secondary มีหน่วยเป็น แอมป์
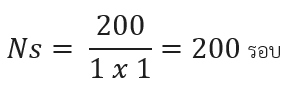
ดังนั้นถ้าเราอยากรู้ว่าจะต้องพันขดลวดทางด้าน Secondary เท่าไร เพื่อให้ได้ CT Ratio = 200/1 กรณีขดลวด Primary มีจำนวนรอบเท่า 1 รอบ จะเป็นดังสูตรนี้

ดังนั้นจากสูตรจะเห็นว่าเพื่อให้ได้ CT ratio 200/1 นั้น จะต้องพันขดลวดด้าน Secondary จำนวน 200 รอบ
-> เป็นไงกันบ้างครับ เข้าใจหลักการทำงานและสูตรของ Current Transformer ไม่ยากเลยใช่ไหมครับ งั้นเราไปลุยกันต่อเรื่องของประเภทของ Current Transformer ครับ
ประเภทของ Current Transformer
CT แบ่งออกเป็น 3 ประเภทหลักๆ ดังนี้
1. Wound Current Transformer

เป็น CT ที่มีขดลวดด้าน Primary เพียง 1 Turn อยู่ด้านใน และต่อ Serie หรือ อนุกรมกับตัว Conductor หรือตัวนำของกระแสไฟฟ้าที่จะต้องการวัด และกระแสของขดลวดด้าน Secondary นั้นจะขึ้นอยู่กับ CT ratio ซึ่งโดยทั่วไป CT ประเภทนี้จะพบตาม Switchyard ที่ใช้กับระดับแรงดันไฟฟ้าแรงสูง
2. Bar-Type Current Transformer

เป็น CT ที่ขดลวดด้าน Primary นั้นจะใช้เป็นสายไฟฟ้า หรือ Bus bar ได้เลย ซึ่งจะมีจำนวนรอบเท่ากับ 1 Turn ซึ่งที่ตัว CT จะมีเพียงขดลวด Secondary เท่านั้น โดย CT ประเภทนี้นั้นในการติดตั้งต้องดำเนินการหยุด Load ไฟฟ้า เพื่อทำการติดตั้ง CT ซึ่งสามารถใช้งานได้ทั่วไปในงานไฟฟ้า
3. Toroidal Current Transformer

เป็น CT ที่แกนเหล็กเป็นแผ่นเหล็กบางๆ มีลักษณะเป็นวงแหวน หรือ วงกลมมาประกบกันที่ไม่มีขดลวด Primary อยู่ด้านใน จะมีเพียงแกนเหล็กและขดลวด Secondary ขดลวด Primary นั้นจะเป็นสายไฟฟ้า Conductor ที่เราต้องการจะทราบขนาดของกระแสไฟฟ้า โดย CT ชนิดนี้สามารถเปิดออกเพื่อคล้องสายไฟฟ้าที่จะทำการวัดได้ ซึ่งเราจะเรียกว่า “Split core” ข้อดีของ CT ประเภทนี้ คือไม่ต้องทำการปลอดสายเพื่อคล้อง CT นั่นก็หมายความว่า เราไม่จำเป็นต้องหยุด Load ไฟฟ้าเพื่อทำการวัด สามารถดำเนินการวัดกระแสไฟฟ้าแบบ Online ได้เลย ซึ่ง CT ประเภทนี้จะเจอได้ในรูปแบบของ Ammeter หรือ Digital meter
–> จะเห็นว่า CT นั้นมีหลายประเภทให้เราสามารถเลือกใช้งานได้ให้เหมาะสมกับประภทของงานไฟฟ้า หรือ Load ไฟฟ้า ที่เราทำการวัด ต่อจากนี้เรามาดูกันต่อว่าค่าคุณลักษณะของ CT ที่จะเป็นค่ากำลังไฟฟ้าสูญเสีย (Burden) และค่าความเที่ยงตรง (Accuracy)
ค่ากำลังไฟฟ้าสูญเสีย (Burden) และค่าความเที่ยงตรง (Accuracy)
การเลือกใช้ CT ให้เหมาะสมกับประเภทของงานแล้ว ยังต้องพิจารณาเรื่องของค่ากำลังไฟฟ้าสูญเสีย (Burden) และค่าความเที่ยงตรง (Accuracy) ของ CT ด้วย ซึ่งเป็นปัจจัยสำคัญที่จะทำให้เราสามารถใช้งาน CT ได้ตามที่เราต้องการนั่นเอง
ค่ากำลังไฟฟ้าสูญเสีย (Burden)
ชื่ออาจจะดูเหมือนเป็นค่ากำลังสูญเสียหรือว่า Loss ในระบบ ของ CT แต่ความหมายจริงของ Burden ใน CT นั่นหมายถึง ค่าความสามารถในการต่อ Load ไฟฟ้าทางด้าน Secondary ของ CT นั่นเอง มีหน่วยเป็น โวลค์แอมป์ หรือ VA ซึ่งการจะต่อ Load เข้าด้วยกันนั่นจะต้องคำนึงถึงค่า Burden นี้ด้วย ถ้าเอาให้เข้าใจง่ายๆ ก็คือ เหมือนกับ Capacity ของ CT ในการต่อ Load ไฟฟ้าทางฝั่ง Secondary นั่นเอง จะยกตัวอย่างดังนี้

สมมติเราจะต่อ CT กับ Digital meters กับสายไฟฟ้ายาว 2 เมตร (สมมติให้สายไฟฟ้ามี Burden = 2 VA) ดังนั้น CT นี้จะต้องเลือกใช้ Burden อย่างน้อย 0.5 + 2 = 2.5 VA
ค่าความเที่ยงตรง (Accuracy)
CT นั้นจะมีค่าความเที่ยงตรง หรือเราจะเรียกกันว่า Class ใน Specification ที่แตกต่างกันไปตามการใช้งาน โดยค่าความเที่ยงตรงนั้นจะมีหลายแบบ ดังตัวอย่างตารางด้านล่างนี้

จะเห็นว่าถ้าบางงานที่เราจะต้องการความแม่นยำในการวัด เช่น งาน Relay protection จะต้องเลือก 5P ที่มี Error ประมาณ 1% และบางงานที่เราไม่ต้องการความแม่นยำมาก เช่น การ Monitor ค่ากระแสไฟฟ้า ก็สามารถเลือก 15P ที่มี Error ประมาณ 5% ก็ได้ ซึ่งจะขึ้นอยู่การใช้งานและการออกแบบของผู้ใช้งานครับ
ตัวอย่างการนำไปงานของ CT
CT นั้นถือเป็นหัวใจสำคัญในการตรวจสอบ หรือ Monitor ของ Load ไฟฟ้า ของเรา เพื่อเอาไปทำ Protection อุปกรณ์ไฟฟ้า หรือต้องการไปปรับค่า Parameter ต่างๆ ของ Motor ตัวอย่างด้านล่างนี้ คือ การนำไปใช้งานของ CT ครับ
1. งาน Relay Protection
เราจะต่อ CT ที่มี Accuracy ที่แม่นยำ อย่าง 5P ที่มี Error ประมาณ 1% ในการตรวจจับปริมาณกระแสไฟฟ้าของ Motor หรือ Transformer เพื่อดูว่ากระแสที่วัดออกมานั้นผิดปกติหรือเปล่า ซึ่งถ้าผิดปกติตัว Relay protection จะทำการสั่ง Trip เพื่อป้องกันอุปกรณ์เสียหายก่อน

2. งาน Power Quality และ Energy Saving
CT จะเข้ามามีบทบาทในเรื่องหัวข้อนี้เป็นอย่างมาก ซึ่งจะขอยกตัวอย่าง 2 ตัวอย่างนะครับ
งานทางด้าน Power Quality
CT นั้นจะมีทำการวัดกระแสไฟฟ้าออกมาให้เราเห็นเป็น Current waveform เพื่อทำการวิเคราะห์ร่วมกับ Voltage waveform ซึ่งจะทำให้เห็นว่าค่า Power Quality ของเรานั้นดีขนาดไหน เนื่องจากในระบบไฟฟ้าของเราย่อมเกิด Loss ในระบบอยู่แล้ว

งานทางด้าน Energy Saving
จะใช้ CT ในการวัดกระแสไฟฟ้า และ VT หรือ Voltage Transformer ในการวัดแรงดันไฟฟ้า เพื่อจะนำมาคำนวณหาค่าพลังงานไฟฟ้า (Power: kW) ที่จะทำให้เราสามารถเห็นค่าพลังงานไฟฟ้าและค่ากระแสไฟฟ้าที่ใช้อยู่นั้นจาก Load เพื่อมาวิเคราะห์หาโครงการต่างๆ ในการช่วยประหยัดค่าไฟฟ้า ไม่ว่าจะเป็น การติดตั้ง Variable Speed Drive (VSD) หรือการทดแทนด้วย LED และ Solar cell system เป็นต้น

โดยในหลายๆ งานนั้นการเลือกใช้ CT ที่เป็นประเภท Split type coil โดยจะสะดวกต่อการวัด อย่างเช่น Product ของ Murata ที่มีความสะดวกในการใช้งานทั้งใช้ในการวัดแบบ Temporary หรือ Permanent ไม่ว่าจะเป็นการใช้ร่วมกับงาน Variable Speed Drive (VSD) หรือการวัด Motor หรือ Electric heater ที่วัดได้ทั้ง 1 เฟส และ 3 เฟส ที่มี Accuracy ที่แม่นยำ และหลาย Range ให้เราเลือกใช้งาน ไม่ว่าจะเป็น
- Model LBAC0ZZ1MT-TEMP ที่มีย่านการวัดที่ 0.01 – 80 A และ 0.1 – 200 A
- Model LBAC0ZZ1NT-TEMP ที่มีย่านการวัดที่ 1 – 500 A
และด้วยเทคโนโลยีของ Murata นั้น ได้มีการนำ Wireless technology มาใช้ร่วมกับ CT นี้ทำให้เราไม่จำเป็นต้องลากสายไฟฟ้าไปยัง VSD หรือ Relay protection เพียงแต่มีตัวรับ – ส่ง สัญญาณ เท่านั้นเอง โดยรองรับได้ประมาณ 100 เมตร ตามสภาพแวดล้อมของเมืองไทยบ้านเรา
ซึ่งภายใน “Wireless CT sensor ของ Murata” นี้จะมี Battery ที่ใช้งานได้อย่างยาวนานถึง 68 เดือน (อย่างไรก็ตาม ด้วย Battery specification นั้นสามารถนำมาใช้งานได้อย่างยาวนานถึง 9 ปี ภายใต้การตั้งค่าความถี่ในการส่งข้อมูลทุก ๆ 10นาที และใช้งานที่อุณหภูมิ 25 องศาเซลเซียล) และตัว CT ของ Murata นี้สามารถเอาไปใช้งานได้ที่อุณหภูมิสูงถึง 50 องศาเซลเซียส ซึ่งพวกเราไม่ต้องกังวลอุณหภูมิอากาศร้อนในประเทศไทยได้เลยนะครับ

ซึ่งถือว่าเป็น Technology ที่เอามาผสมกันเพื่อให้เกิดความสะดวกในการใช้งานของพวกเรา และทำให้เราสามารถใช้งานการวัดกระแสไฟฟ้าได้อย่างต่อเนื่องในการ Monitor อุปกรณ์ไฟฟ้าของเรา และทำให้เราสามารถป้องกันการเสียหายของ Load ไฟฟ้าได้ก่อนเกิดเหตุการณ์ไม่คาดฝัน ได้ครับ
==================================================
>>>>>>>>> นอกจาก Wireless Current Sensor แล้วทาง Murata ก็ยังมี Wireless sensor ชนิดอื่นๆ เช่น Vibration Sensor, Temperature and humidity sensor , 4-20 mA Analog sensor และ Sensor อื่นๆ หากเพื่อนๆ สนใจสามารถกดเข้าไปดูได้ตามลิ้งก์ด้านล่างได้เลยนะครับ <<<<<<<<<<

https://solution.murata.com/th-th/service/
หรือติดต่อโดยตรงกับ Murata เพื่อขอข้อมูล หรือขอทดลองตัว demo ได้ฟรีที่โรงงานของเพื่อนๆเลยนะครับ
ติดต่อ
ณพงศ์พัศ ธงชัย (เมฆ)
• วิศวกรฝ่ายขาย
• โทร: 081-132-4462
• อีเมล: [email protected]
คุณธนพร คุณากรเรืองกิจ (พลอย)
• เจ้าหน้าที่บริหารงานขายและการตลาด
• โทร: 063-125-6151
• อีเมล: [email protected]
==================================================
แล้วพบกับสาระดีๆทางด้านงานช่าง วิศวกรรม และอุตสาหกรรมได้ ที่เพจนายช่างมาแชร์นะครับผม
Website: www.naichangmashare.com
Facebook: https://www.facebook.com/naichangmashare/
Youtube: https://www.youtube.com/channel/UCmIPiSeg-uy4k8JYSmknp_g
Instragram: https://www.instagram.com/naichangmashare/
Twitter: https://twitter.com/naichangmashare
#นายช่างมาแชร์